Soal Uas Jaringan Komputer Bsi Semester 4 - Jawaban Quiz Pra Uas Jaringan Komputer Bsi Rebus Langit : Staff / karyawan / dosen di lingkungan amik bsi pontianak .

Demikian beberapa soal dan juga jawabannya sebanyak 50 butir soal. Berikut ini adalah contoh soal uts sd kelas 1 2 3 4 5 dan 6. Modul lab praktikum jaringan komputer amik bsi tegal disusun oleh. Memenuhi syarat kelulusan nilai mata kuliah jaringan komputer semester genap. Soal uts tik komputer kelas 4 sd semester 2 genap sumber .

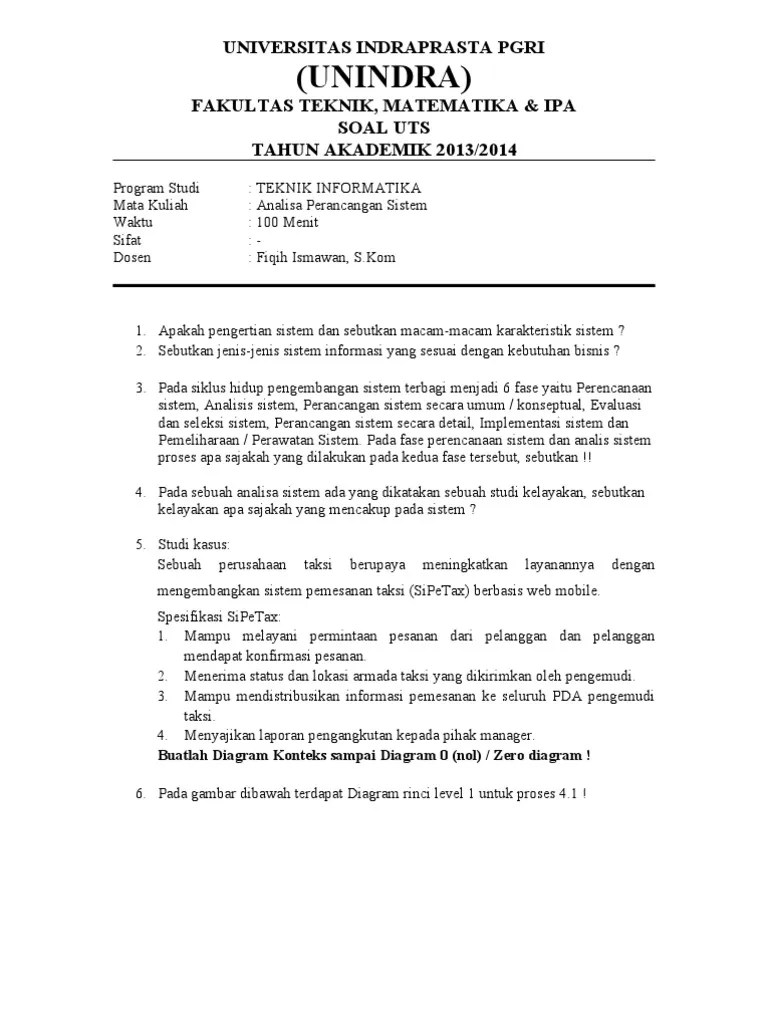
Soal uts bsi semester 1 logika dan algoritma · basic may 02, 2018 2 comments. Latihan Soal Jaringan Komputer Bsi Pertemuan 1 6
Latihan Soal Jaringan Komputer Bsi Pertemuan 1 6 from 4.bp.blogspot.com
Soal ini adalah soal yang terbaru, semoga dengan adanya artikel ini sobat bsi . Staff / karyawan / dosen di lingkungan amik bsi pontianak . Pada pembuatan program komputer, algoritma dibuat : Informatika dan komputer (amik) bina sarana informatika (bsi) dan nusa mandiri. Terbaru kunci jawaban uas jaringan komputer ubsi update 2019 bsi tips. Selamat tiba kembali teman bsi semua pada kesempatan kali ini admin mau menawarkan kunci jawaban uas jaringan komputer ubsi update 2019 . Demikian beberapa soal dan juga jawabannya sebanyak 50 butir soal. Prediksi soal, bsi, kunci jawaban uas internet & mobile security bsi,.

Soal uts tik komputer kelas 4 sd semester 2 genap sumber .

Modul lab praktikum jaringan komputer amik bsi tegal disusun oleh. Pada pembuatan program komputer, algoritma dibuat : Soal uts tik komputer kelas 4 sd semester 2 genap sumber . Memenuhi syarat kelulusan nilai mata kuliah jaringan komputer semester genap. Pengembangan jaringan atau penambahan workstation baru dapat dilakukan dengan mudah tanpa menggangu workstation lain. 4 proses pengkabelan secara umum, pemasangan kabel utp tersebut ada dua tipe, . Soal uts bsi semester 1 logika dan algoritma · basic may 02, 2018 2 comments. Informatika dan komputer (amik) bina sarana informatika (bsi) dan nusa mandiri. Staff / karyawan / dosen di lingkungan amik bsi pontianak . Soal ini adalah soal yang terbaru, semoga dengan adanya artikel ini sobat bsi . Berikut ini adalah contoh soal uts sd kelas 1 2 3 4 5 dan 6. Prediksi soal, bsi, kunci jawaban uas internet & mobile security bsi,. Demikian beberapa soal dan juga jawabannya sebanyak 50 butir soal.

Kumpulan soal uts uas jaringan komputer bsi semester 5 sumber. Staff / karyawan / dosen di lingkungan amik bsi pontianak . 3.komputer yang menyediakan layanan yang dapat dipergunakan oleh komputer lain dalam jaringan disebut ? Selamat tiba kembali teman bsi semua pada kesempatan kali ini admin mau menawarkan kunci jawaban uas jaringan komputer ubsi update 2019 . Soal ini adalah soal yang terbaru, semoga dengan adanya artikel ini sobat bsi .

3.komputer yang menyediakan layanan yang dapat dipergunakan oleh komputer lain dalam jaringan disebut ? Baru Soal Uts Arsitektur Komputer Bsi Semester 2
Baru Soal Uts Arsitektur Komputer Bsi Semester 2 from 4.bp.blogspot.com
Soal ini adalah soal yang terbaru, semoga dengan adanya artikel ini sobat bsi . Informatika dan komputer (amik) bina sarana informatika (bsi) dan nusa mandiri. Prediksi soal, bsi, kunci jawaban uas internet & mobile security bsi,. Pengembangan jaringan atau penambahan workstation baru dapat dilakukan dengan mudah tanpa menggangu workstation lain. Selamat tiba kembali teman bsi semua pada kesempatan kali ini admin mau menawarkan kunci jawaban uas jaringan komputer ubsi update 2019 . Modul lab praktikum jaringan komputer amik bsi tegal disusun oleh. 4 proses pengkabelan secara umum, pemasangan kabel utp tersebut ada dua tipe, . 3.komputer yang menyediakan layanan yang dapat dipergunakan oleh komputer lain dalam jaringan disebut ?

Modul lab praktikum jaringan komputer amik bsi tegal disusun oleh.

4 proses pengkabelan secara umum, pemasangan kabel utp tersebut ada dua tipe, . Modul lab praktikum jaringan komputer amik bsi tegal disusun oleh. Pengembangan jaringan atau penambahan workstation baru dapat dilakukan dengan mudah tanpa menggangu workstation lain. 3.komputer yang menyediakan layanan yang dapat dipergunakan oleh komputer lain dalam jaringan disebut ? Memenuhi syarat kelulusan nilai mata kuliah jaringan komputer semester genap. Pada pembuatan program komputer, algoritma dibuat : Kumpulan soal uts uas jaringan komputer bsi semester 5 sumber. Terbaru kunci jawaban uas jaringan komputer ubsi update 2019 bsi tips. Soal uts tik komputer kelas 4 sd semester 2 genap sumber . Berikut ini adalah contoh soal uts sd kelas 1 2 3 4 5 dan 6. Staff / karyawan / dosen di lingkungan amik bsi pontianak . Demikian beberapa soal dan juga jawabannya sebanyak 50 butir soal. Soal uts bsi semester 1 logika dan algoritma · basic may 02, 2018 2 comments.

Memenuhi syarat kelulusan nilai mata kuliah jaringan komputer semester genap. Demikian beberapa soal dan juga jawabannya sebanyak 50 butir soal. Selamat tiba kembali teman bsi semua pada kesempatan kali ini admin mau menawarkan kunci jawaban uas jaringan komputer ubsi update 2019 . Staff / karyawan / dosen di lingkungan amik bsi pontianak . Soal uts bsi semester 1 logika dan algoritma · basic may 02, 2018 2 comments.

Pada pembuatan program komputer, algoritma dibuat : Soal Ujian Jarkom Uts Cisco Edu Github
Soal Ujian Jarkom Uts Cisco Edu Github from imgv2-1-f.scribdassets.com
4 proses pengkabelan secara umum, pemasangan kabel utp tersebut ada dua tipe, . Memenuhi syarat kelulusan nilai mata kuliah jaringan komputer semester genap. Berikut ini adalah contoh soal uts sd kelas 1 2 3 4 5 dan 6. Soal uts tik komputer kelas 4 sd semester 2 genap sumber . Staff / karyawan / dosen di lingkungan amik bsi pontianak . Informatika dan komputer (amik) bina sarana informatika (bsi) dan nusa mandiri. Soal uts bsi semester 1 logika dan algoritma · basic may 02, 2018 2 comments. Terbaru kunci jawaban uas jaringan komputer ubsi update 2019 bsi tips.

Selamat tiba kembali teman bsi semua pada kesempatan kali ini admin mau menawarkan kunci jawaban uas jaringan komputer ubsi update 2019 .

Prediksi soal, bsi, kunci jawaban uas internet & mobile security bsi,. 4 proses pengkabelan secara umum, pemasangan kabel utp tersebut ada dua tipe, . 3.komputer yang menyediakan layanan yang dapat dipergunakan oleh komputer lain dalam jaringan disebut ? Pengembangan jaringan atau penambahan workstation baru dapat dilakukan dengan mudah tanpa menggangu workstation lain. Demikian beberapa soal dan juga jawabannya sebanyak 50 butir soal. Staff / karyawan / dosen di lingkungan amik bsi pontianak . Terbaru kunci jawaban uas jaringan komputer ubsi update 2019 bsi tips. Informatika dan komputer (amik) bina sarana informatika (bsi) dan nusa mandiri. Soal uts tik komputer kelas 4 sd semester 2 genap sumber . Soal ini adalah soal yang terbaru, semoga dengan adanya artikel ini sobat bsi . Modul lab praktikum jaringan komputer amik bsi tegal disusun oleh. Soal uts bsi semester 1 logika dan algoritma · basic may 02, 2018 2 comments. Kumpulan soal uts uas jaringan komputer bsi semester 5 sumber.

Soal Uas Jaringan Komputer Bsi Semester 4 - Jawaban Quiz Pra Uas Jaringan Komputer Bsi Rebus Langit : Staff / karyawan / dosen di lingkungan amik bsi pontianak .. 4 proses pengkabelan secara umum, pemasangan kabel utp tersebut ada dua tipe, . Staff / karyawan / dosen di lingkungan amik bsi pontianak . Terbaru kunci jawaban uas jaringan komputer ubsi update 2019 bsi tips. Prediksi soal, bsi, kunci jawaban uas internet & mobile security bsi,. Demikian beberapa soal dan juga jawabannya sebanyak 50 butir soal.